RU
KZ
Абай облысы білім басқармасының Аягөз ауданы білім бөлімінің «Қалалық қазақ мектеп-лицейі»
Приемная:
+7(72237)0-0-0
Телефон доверия
+7(72237)5-33-78
795_000@ayagoz-roo.kz
Аттестация
Жалпы сипаттама
Кадрлық құрамға талдау
Білім алушылар контингенті
Оқу-әдістемелік жұмыс
Оқу-материалдық активтер
Ақпараттық ресурстар және кітапханалық қор
Білім алушылардың білімін бағалау
Білім беру процесіне қатысушылардың сауалнамасы
МАДТ құжаттары
Қосымша
Өзін-өзі бағалау қорытындысы
Тәрбие жұмыстары
Мектеп психолог құжаттары
Информация
О школе
Наши достижения
Наша история
Администрация
Преподаватели
Методика и опыт
Нормативные документы
ТВ-Видео
Школьникам
Расписание уроков
ЕНТ
Достижение школьников
Родителям
Питание
План приобретения услуг
Открытый конкурс
Мониторинг качества питания
Договоры по питанию
Открытый бюджет
Индивидуальный план финансирования
Основные показатели финансовой деятельности
План государственных закупок
Отчет о доходах и расходах
Утвержденный бюджет
Открытый орган
Противодействие коррупции
Попечительский совет
Государственные услуги
Стандарты гос.услуг
Регламент
Контакты
Мектеп сайты
»
Открытый бюджет
» Индивидуальный план финансирования по обязательством
Меню сайта
Аттестация
Жалпы сипаттама
Кадрлық құрамға талдау
Білім алушылар контингенті
Оқу-әдістемелік жұмыс
Оқу-материалдық активтер
Ақпараттық ресурстар және кітапханалық қор
Білім алушылардың білімін бағалау
Білім беру процесіне қатысушылардың сауалнамасы
МАДТ құжаттары
Қосымша
Өзін-өзі бағалау қорытындысы
Тәрбие жұмыстары
Мектеп психолог құжаттары
Информация
О школе
Наши достижения
Наша история
Администрация
Преподаватели
Методика и опыт
Нормативные документы
ТВ-Видео
Школьникам
Расписание уроков
ЕНТ
Достижение школьников
Родителям
Питание
План приобретения услуг
Открытый конкурс
Мониторинг качества питания
Договоры по питанию
Открытый бюджет
Индивидуальный план финансирования
Основные показатели финансовой деятельности
План государственных закупок
Отчет о доходах и расходах
Утвержденный бюджет
Открытый орган
Противодействие коррупции
Попечительский совет
Государственные услуги
Стандарты гос.услуг
Регламент
Контакты
Архив
Декабрь 2025 (1)
Ноябрь 2025 (1)
Сентябрь 2025 (5)
Август 2025 (2)
Июнь 2025 (3)
Май 2025 (1)
Апрель 2025 (11)
Март 2025 (12)
Февраль 2025 (7)
Январь 2025 (5)
Декабрь 2024 (14)
Ноябрь 2024 (16)
Октябрь 2024 (17)
Сентябрь 2024 (19)
Август 2024 (4)
Июль 2024 (1)
Июнь 2024 (1)
Май 2024 (2)
Апрель 2024 (12)
Март 2024 (135)
Февраль 2024 (53)
Январь 2024 (45)
Декабрь 2023 (41)
Ноябрь 2023 (48)
Октябрь 2023 (48)
Сентябрь 2023 (14)
Август 2023 (5)
Июль 2023 (1)
Июнь 2023 (13)
Май 2023 (17)
Апрель 2023 (14)
Март 2023 (19)
Февраль 2023 (8)
Январь 2023 (17)
Декабрь 2022 (6)
Ноябрь 2022 (8)
Октябрь 2022 (2)
Сентябрь 2022 (11)
Август 2022 (8)
Июнь 2022 (3)
Май 2022 (6)
Апрель 2022 (7)
Март 2022 (5)
Февраль 2022 (1)
Январь 2022 (9)
Декабрь 2021 (3)
Ноябрь 2021 (20)
Октябрь 2021 (20)
Сентябрь 2021 (4)
Июль 2021 (1)
Июнь 2021 (8)
Май 2021 (18)
Апрель 2021 (22)
Март 2021 (20)
Февраль 2021 (12)
Январь 2021 (5)
Декабрь 2020 (10)
Ноябрь 2020 (9)
Октябрь 2020 (4)
Май 2020 (2)
Апрель 2020 (1)
Февраль 2020 (10)
Декабрь 2019 (2)
Ноябрь 2019 (2)
Сентябрь 2019 (2)
Апрель 2019 (1)
Март 2019 (1)
Февраль 2019 (1)
Январь 2019 (1)
Декабрь 2018 (2)
Ноябрь 2018 (3)
Сентябрь 2018 (1)
Май 2018 (1)
Апрель 2018 (1)
Ноябрь 2017 (2)
Октябрь 2017 (1)
Сентябрь 2017 (1)
Май 2017 (1)
Показать / скрыть весь архив
Последние новости
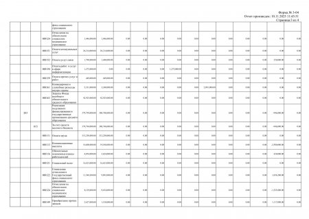
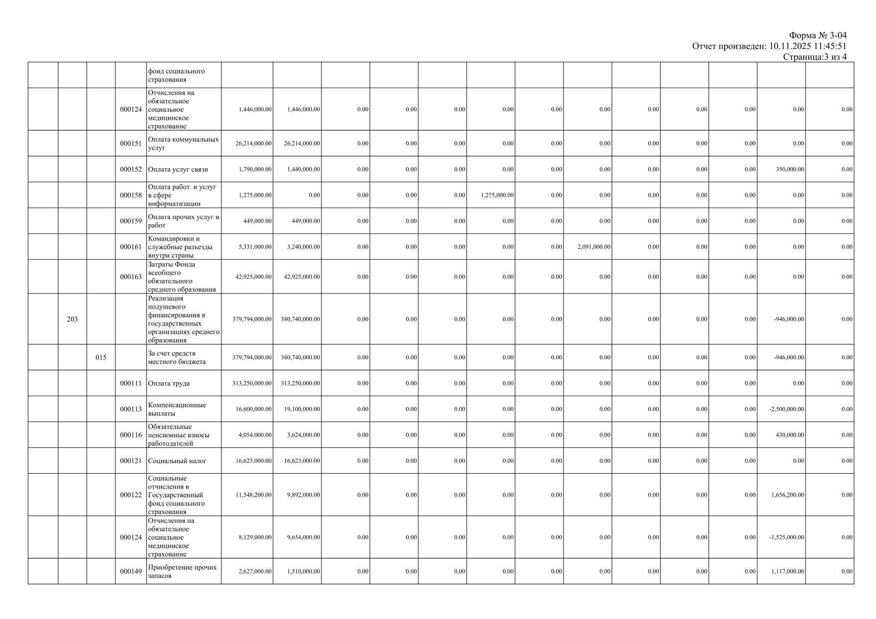
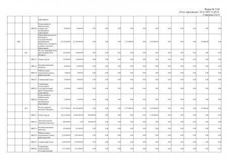
Индивидуальный план финансирования по обязательством
0
1
2
3
4
5
Добавлено: 31-03-2025, 15:35
0
52
adminshcool
Открытый бюджет
/
Индивидуальный план финансирования
Добавить комментарий
Государственные символы
Послание Главы Государства Республики Казахстан
Государственные символы
Государственный Флаг Республики Казахстан
Государственный Герб Республики Казахстан
Государственный Гимн Республики Казахстан
Новости района
Фотогалерея
Архив новостей
«
Декабрь 2025 »
Пн
Вт
Ср
Чт
Пт
Сб
Вс
1
2
3
4
5
6
7
8
9
10
11
12
13
14
15
16
17
18
19
20
21
22
23
24
25
26
27
28
29
30
31